國家智慧財產權局資訊顯示,河北乾寶新材料有限責任公司申請一項名為“一種硫鋁鐵系水泥及其製備方法”的專利,公開號CN121318333A,申請日期為2025年11月水泥。 專利摘要顯示,本發明涉及建築材料技術領域,具體公開一種硫鋁鐵系水泥及其製備方法水泥。所述硫鋁鐵系水泥包括以下原料:硫鋁鐵系水泥熟料5
來源租賃:中國新聞網 全球首個機器人租賃平臺“擎天租”15日釋出的資料顯示,平臺自2025年12月22日在上海上線以來,三週內註冊使用者數突破20萬,日均租賃訂單穩定在200單以上,業務呈現加速增長態勢租賃。 同日,該平臺宣佈完成種子輪融資,由高瓴創投領投,復星創富、慕華科創、大豐基金及張江集團旗下具
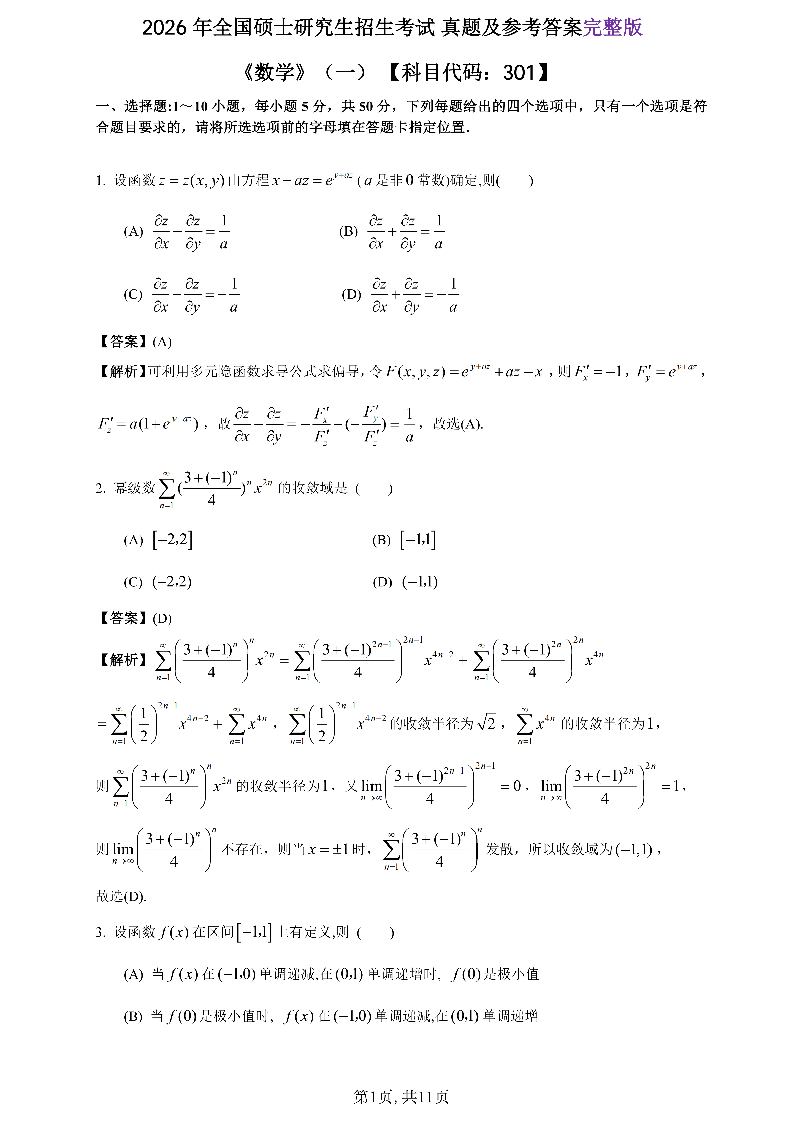
2026年考研數學一已落下帷幕,這次考試較好地延續了“偶數年”偏難的規律,並且在命題思路上體現出了幾個明確的新趨勢研究生。對於備戰2027年及之後的考生來說,深入分析這張試卷的特點至關重要。 一、數學一試卷呈現出三大核心特徵 1、難度“穩中有升” 整體符合“偶數年”難度較大的傳統預期研究生。命題更強
2020年至2023年,湖北男子歐某專挑淫穢場所(賣淫場所)下手,偷偷安裝微型攝像頭等裝置偷拍,製作淫穢影片9000餘部;武漢某規劃研究院的研究生葉某為牟利,幫其剪輯3000多部研究生。二人透過售賣影片各自獲利5萬餘元,最終均因製作、販賣淫穢物品牟利罪獲刑——歐某被判10年6個月,葉某被判8年6個月
美業從業者在挑選 2026 年美容院美容儀器時,普遍面臨 “選型迷茫” 與 “功效落差” 的困境,在眾多品牌中難以抉擇,常遭遇儀器功效誇大、實際效果不達預期,或操作複雜導致員工難以熟練掌握的問題,投入成本卻無法轉化為實際營收美容。不同規模機構的需求斷層同樣突出,中小型機構缺乏高價效比、易操作的裝置,
1月14日,教育部黨組書記、部長懷進鵬調研中國礦業大學(北京),強調學校要深刻把握在國家發展大局中的定位,堅持守正創新,瞄準未來和前沿領域實現新突破,在教育強國建設新徵程上展現新作為教育。 懷進鵬詳細瞭解了學校辦學情況,深入調研了隧道工程災變防控與智慧建養全國重點實驗室,看望師生和幹部職工,並主持召
日前,教育部公佈2025年學前教育普及普惠縣(市、區)名單,海南省有9個縣(市、區)被認定為國家學前教育普及普惠縣(市、區),分別為:海口市龍華區,三亞市海棠區、崖州區,三沙市西沙區,洋浦經濟開發區,陵水黎族自治縣,昌江黎族自治縣,保亭黎族苗族自治縣,白沙黎族自治縣教育。截至目前,海南省共有10個縣
12月18日,備受矚目的2025國際線上教育大會成功舉辦教育。本屆大會以“科創賦能 智育未來”為主題,聚焦人工智慧時代教育的系統性變革與戰略性創新,匯聚教育領域頂尖的教育專家、行業先鋒、知名校長、優秀的一線教育工作者以及眾多權威媒體代表,聚焦“人工智慧+教育”融合創新、產教協同機制深化、教育國際化發
“中國不可怕快速,可怕的是中國只用10萬頭豬,就解決了治沙難題 不怪美媒如此驚歎,一百多年前,美國就在猶他州投入了數百億美元用來治沙,結果沙子越治越多,直到今天也不過才成功固沙9%快速。 而中國只花了45年的時間,只用了10萬頭豬,就治理了全國53%的退化土地,把“沙漠”變成了“綠洲”快速。 沒想到
近日,由中國科學院紫金山天文臺牽頭,聯合國內外多家研究機構組成的研究團隊,利用我國500米口徑球面射電望遠鏡(“中國天眼”,FAST)取得重要突破——在國際上首次捕捉到重複快速射電暴(FRB)的法拉第旋轉量(RM)發生劇烈跳變並隨後回落的詳細演化過程快速。這一獨特發現結果為“快速射電暴起源於雙星系統
國家智慧財產權局資訊顯示,蘭州蘭石石油裝備工程股份有限公司取得一項名為“一種大容量快速平移電纜槽裝置”的專利,授權公告號CN223809499U,申請日期為2025年2月快速。 專利摘要顯示,本實用新型屬於油氣鑽探技術領域,公開了一種大容量快速平移電纜槽裝置,包括房體,房體內預埋有導軌,導軌一端處在房
1月16日,濟源中心支公司客戶服務部接到客戶李先生的緊急來電,電話中李先生語氣焦急,告知其母親因突發重病住院治療,高額醫療費用讓家庭陷入困境,希望就此前為母親投保的重疾保險申請快速理賠,以解救命錢燃眉之急快速。 民生無小事,枝葉總關情快速。接到求助電話後,濟源中心支客戶服務部高度重視,第一時間響應客
國家智慧財產權局資訊顯示,杭州部藍創新科技有限公司取得一項名為“便於快速插拔的充電接頭及自動泳池清潔機”的專利,授權公告號CN223809338U,申請日期為2024年12月快速。 專利摘要顯示,本實用新型公開了泳池清潔機技術領域的便於快速插拔的充電接頭及自動泳池清潔機,包括第一接頭和第二接頭,第一接
國家智慧財產權局資訊顯示,廣東金瑞峰數智科技有限公司申請一項名為“一種物流傳輸軌道及物流輸送裝置”的專利,公開號CN121317342A,申請日期為2025年11月物流。 專利摘要顯示,本發明涉及傳送裝置技術領域,公開了一種物流傳輸軌道及物流輸送裝置,包括第一直行輸送單元、第二直行輸送單元以及轉角換向
1998年,俄羅斯一位叫伊戈爾·帕納林的學者公開放話,說美國會像蘇聯那樣崩盤,分裂成幾個部分,起初大家當笑話聽,但2008年金融危機一鬧,他的觀點突然火了房產。 更嚇人的是,他用來推演的工具正是蘇聯垮掉時留下的那套演算法,你可能會笑,但如果翻開歷史,你會發現羅馬帝國、奧斯曼帝國,甚至大英帝國,崩塌前的